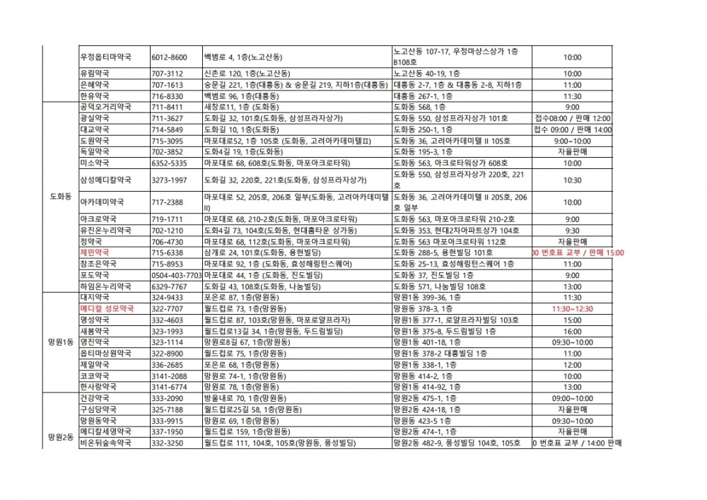
마포구 공적마스크 판매처

페이지 정보

작성자 김도현
댓글 0건 조회 8,461회 작성일 20-03-17 11:11

본문

5f6049c739bbe89cb24256dff003d0dc_1584411096_0743.jpg
5f6049c739bbe89cb24256dff003d0dc_1584411096_1665.jpg
5f6049c739bbe89cb24256dff003d0dc_1584411096_311.jpg
5f6049c739bbe89cb24256dff003d0dc_1584411096_4348.jpg
5f6049c739bbe89cb24256dff003d0dc_1584411096_5784.jpg
5f6049c739bbe89cb24256dff003d0dc_1584411096_6392.jpg
 


댓글목록

등록된 댓글이 없습니다.